Texas Instruments TLVx171/TLVx171-Q1 36V-Mehrzweck-Operationsverstärker
Der 36 V-Mehrzweck-Operationsverstärker TLVx171/TLVx171-Q1 von Texas Instruments bietet eine Option mit geringem Stromverbrauch für kostenbewusste industrielle und private Elektroniksysteme. Diese Geräte sind ideal, wenn ein EMI-gehärteter, rauscharmer Einfachversorgungs-Operationsverstärker benötigt wird, der mit Netzteilen von 2,7 V (± 1,35 V) bis 36 V (± 18 V) betrieben wird. Die Einzel-Kanal-Operationsverstärker TLV171/TLV171-Q1, Dual-Kanal-Operationsverstärker TLV2171 und Quad-Kanal-Operationsverstärker TLV4171 bieten einen niedrigen Offset, Drift und symmetrischen Ruhestrom mit hoher Bandbreite für die Stromversorgung. Jedes dieser Geräte ist für platzbeschränkte Systeme in Mikrogehäusen erhältlich und verfügt über identische Spezifikationen für maximale Designflexibilität. Im Gegensatz zu den meisten Operationsverstärkern, die bei nur einer Versorgungsspannung spezifiziert sind, ist die TLVx171/TLVx171-Q1-Familie von 2,7 V bis 36 V spezifiziert. Die TLVx171-Q1 Bauteile sind AEC-Q100-qualifiziert für Automobil-Applikationen.Merkmale
- Versorgungsbereich: +2,7 V bis +36 V, ±1,35 V bis ±18 V
- Rauscharm: 16 nV/√Hz
- Niedrige Offset-Drift: ±1 µV/°C (typisch)
- Widerstandsfähig gegen EMI mit RFI-gefilterten Eingängen
- Der Eingangsbereich beinhaltet auch die Negativ-Versorgung
- Stabile Verstärkung: 200 pF kapazitive Last
- Rail-to-Rail-Ausgang
- Verstärkungsbandbreite: 3 MHz
- Niedriger Ruhestrom: 525 µA pro Verstärker
- Hohe Gleichtaktunterdrückung: 105 dB (typisch)
- Niedriger Ruhestrom: 10 pA
Applikationen
- Transducer
- Währungszähler
- AC/DC-Wandler
- Leistungsmodule
- Wechselrichter
- Testausstattung
- Batteriebetriebene Messgeräte
- TFT-LCD-Treiberschaltungen
- Aktive Filter
Datasheets
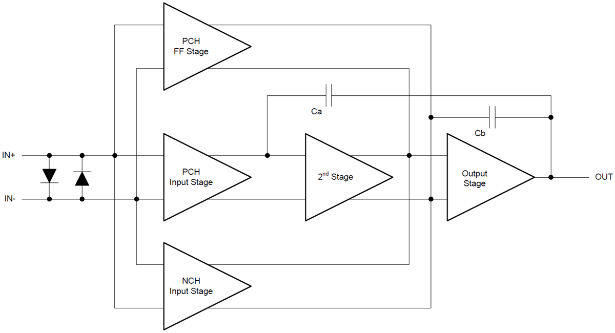
Funktionales Blockdiagramm
Veröffentlichungsdatum: 2017-04-26
| Aktualisiert: 2022-04-26
