HUBER+SUHNER SUCOFLEX® 126E Microwave Cable Assemblies

HUBER+SUHNER SUCOFLEX® 126E Microwave Cable Assemblies combine the low loss and power of SUCOFLEX 104 with the phase stability of SUCOFLEX 104P. These cable assemblies operate up to a 26.5GHz frequency range. HUBER+SUHNER SUCOFLEX 126E Cable Assemblies feature excellent return loss, high flexibility, low loss, a wide range of connectors, and excellent phase and amplitude stability. These cable assemblies offer 50Ω impedance and operate at -40°C to 85°C temperature range.

Features

  • Up to 26.5GHz operating frequency
  • Excellent return loss
  • Excellent phase and amplitude stability
  • Low loss
  • Wide range of connectors
  • 50Ω impedance
  • 87pF/m capacitance
  • 4.3ns/m signal delay
  • ≥1 x 108MΩm insulation resistance
  • -40°C to +85°C operating temperature range

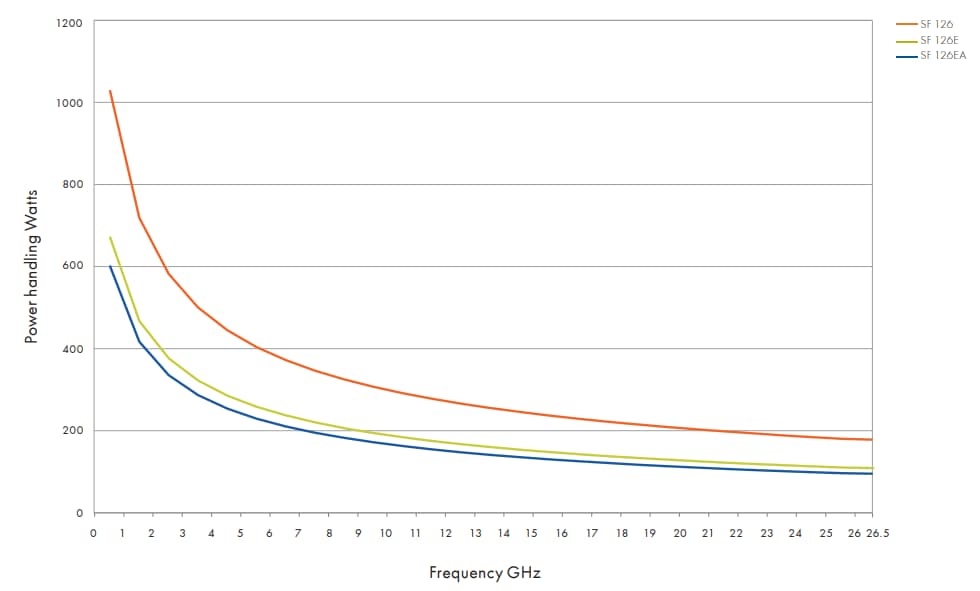
Power Handling

Performance Graph - HUBER+SUHNER SUCOFLEX® 126E Microwave Cable Assemblies
Veröffentlichungsdatum: 2019-07-22 | Aktualisiert: 2025-04-15